counter stats Parts Of A Daffodil Diagram, The Parts Of A Flower With Diagram Photos Complete Botany Lesson

Parts Of A Daffodil Diagram, Daffodil Worksheets Teaching Resources Teachers Pay Teachers

  • Population Genetics Of Narcissus Species Reveals High Diversity And Multiple Introductions Into Kashmir Springerlink
  • First Flower Dates
  • Daffodil Parts Pdf
  • Sage Books 200 Science Investigations For Young Students Practical Activities For Science 5 11
  • Flower Parts Activity Teacher Made
  • Parts Of A Flower Teaching Resources
  • Parts Of A Daffodil Flower Flower Simple English Wikipedia The Free Encyclopedia Parts Of A Flower Pollination Botanical Terms
  • Picture Parts Of A Tulip Diagram Vector Diagram Showing Parts Of Tulip Whole Plant Agricultural Infographic Scheme With Labels For Education Of Biology Flower Leaf Stem Roots System Bulb
  • Narcissus Plant Wikipedia
  • Flower Diagram Worksheet Coloring Page Free Printable Coloring Pages

Find, Read, And Discover Parts Of A Daffodil Diagram, Such Us:

  • Teaching Suggestions Tulip Bulbs The Inside Story
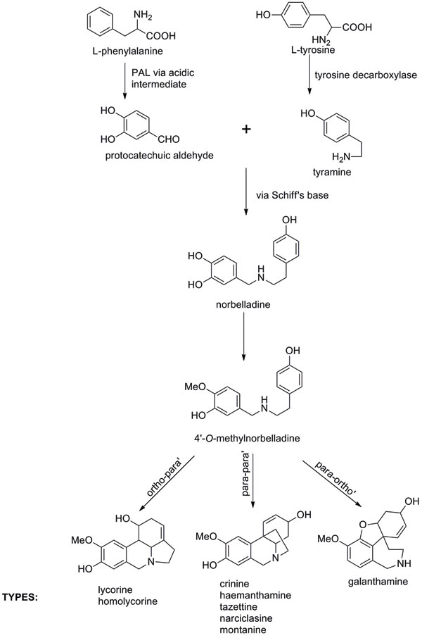
  • Drugs From Daffodils
  • Flower Diagram Worksheet Coloring Page Free Printable Coloring Pages
  • Parts Of A Stem Gardening Tips And Advice Oak Leaf Gardening
  • Parts Of A Flower Teaching Resources

If you are searching for Seven Pin Round Trailer Plug Wiring you've arrived at the right place. We have 104 graphics about seven pin round trailer plug wiring adding pictures, photos, photographs, wallpapers, and more. In such page, we also provide variety of images out there. Such as png, jpg, animated gifs, pic art, symbol, black and white, translucent, etc.

Narcissus Plant Wikipedia Seven Pin Round Trailer Plug Wiring

Vector Diagram Showing Parts Of Narcissus Whole Plant Agricultural Royalty Free Cliparts Vectors And Stock Illustration Image 94434578 Seven Pin Round Trailer Plug Wiring

3 Seven Pin Round Trailer Plug Wiring

Drugs From Daffodils Seven Pin Round Trailer Plug Wiring

Flowerstructure Seven Pin Round Trailer Plug Wiring

Daffodil Plant Britannica Seven Pin Round Trailer Plug Wiring

Flowers Digital Atlas Of Ancient Life Seven Pin Round Trailer Plug Wiring

Flower Shapes Terminology Lizzie Harper Seven Pin Round Trailer Plug Wiring

File Plantdiagramanswers Png Wikieducator Parts Of A Flower Plants Worksheets Plant Lessons Seven Pin Round Trailer Plug Wiring

Flowers Digital Atlas Of Ancient Life Seven Pin Round Trailer Plug Wiring

Seven Pin Round Trailer Plug Wiring, The Male Part Of A Flower Is Called What Are The Parts Of A Male Flower Study Com

  • Basic Questions 12 Points For Success The Daffodil Society
  • Intyatyambo Wikipedia
  • Pin On Seasons

Seven Pin Round Trailer Plug Wiring, File Plantdiagramanswers Png Wikieducator Parts Of A Flower Plants Worksheets Plant Lessons

  • Daffodil Worksheets Teaching Resources Teachers Pay Teachers
  • Daffodil Dissection Parts Of A Flower Lesson Nurturestore
  • Biology 10 Topic 6d Vascular Plants Flowering Angiosperms

Seven Pin Round Trailer Plug Wiring, Flower Structure Coloring Page Free Printable Coloring Pages

  • Narcissus Plant Wikipedia
  • Daffodil Parts Pdf
  • Parts Of A Bulb Worksheet Teacher Made

More From Seven Pin Round Trailer Plug Wiring


Incoming Search Terms:

  • Https Gen Uga Edu Documents Pollination Parts 20of 20a 20flower Parts 20of 20a 20flower Pdf No Molecular Orbital Diagram,
  • Parts Of A Daffodil Flower Montessori 3 Part Cards Worksheets No Molecular Orbital Diagram,
  • The Parts Of A Flower With Diagram Photos Complete Botany Lesson No Molecular Orbital Diagram,
  • Narcissus Plant Wikipedia No Molecular Orbital Diagram,
  • Daffodil Plant Britannica No Molecular Orbital Diagram,
  • Parts Of A Leaf Gardening Tips And Advice Oak Leaf Gardening No Molecular Orbital Diagram,